兰考县人民政府
中国政府网
河南政府网
开封政府网
简
繁
关怀版
无障碍
首页
新闻中心
政务公开
政务服务
互动交流
走进兰考
数据发布
您当前的位置:
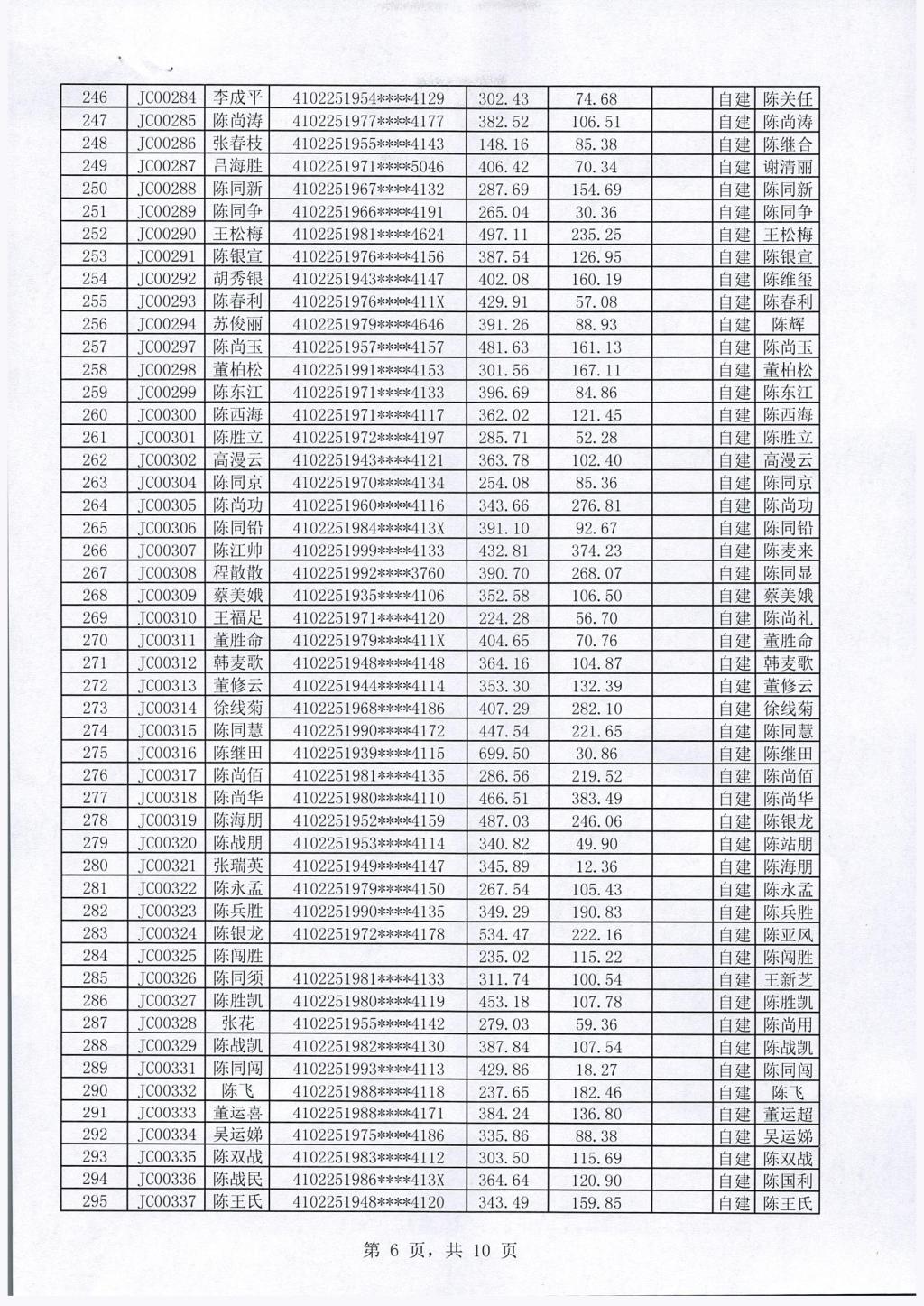
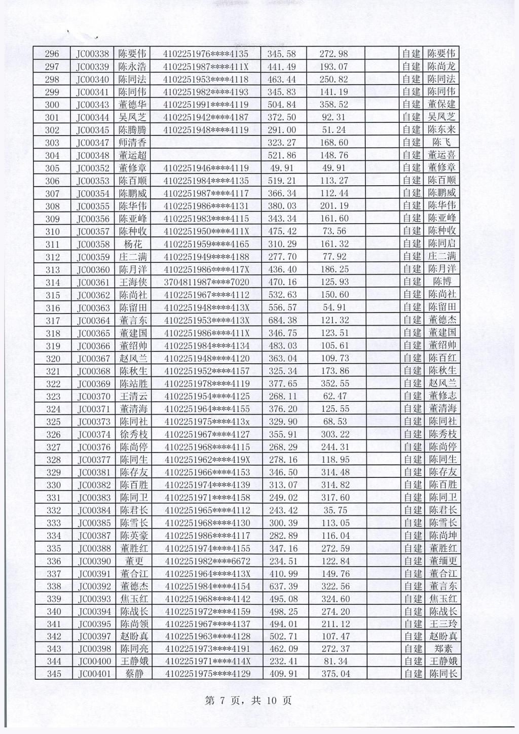
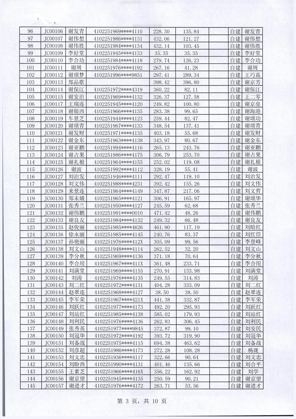
兰考县农村房屋不动产登记关于南彰镇刘寨村权籍调查结果的公示公告
来源:
责任编辑:
发布时间:
打印
分享到:
相关文件:
【下载DOC】
【关闭窗口】
扫一扫在手机打开当前页
相关信息